灵壁县涉改公车拍卖公告
受委托,近期举办网络拍卖会,现公告如下:
一、 拍卖时间、方式与平台:2018年1月30日,上午09:00-拍完止;中国拍卖行业协会网络拍卖平台(https://paimai.caa123.org.cn/)。
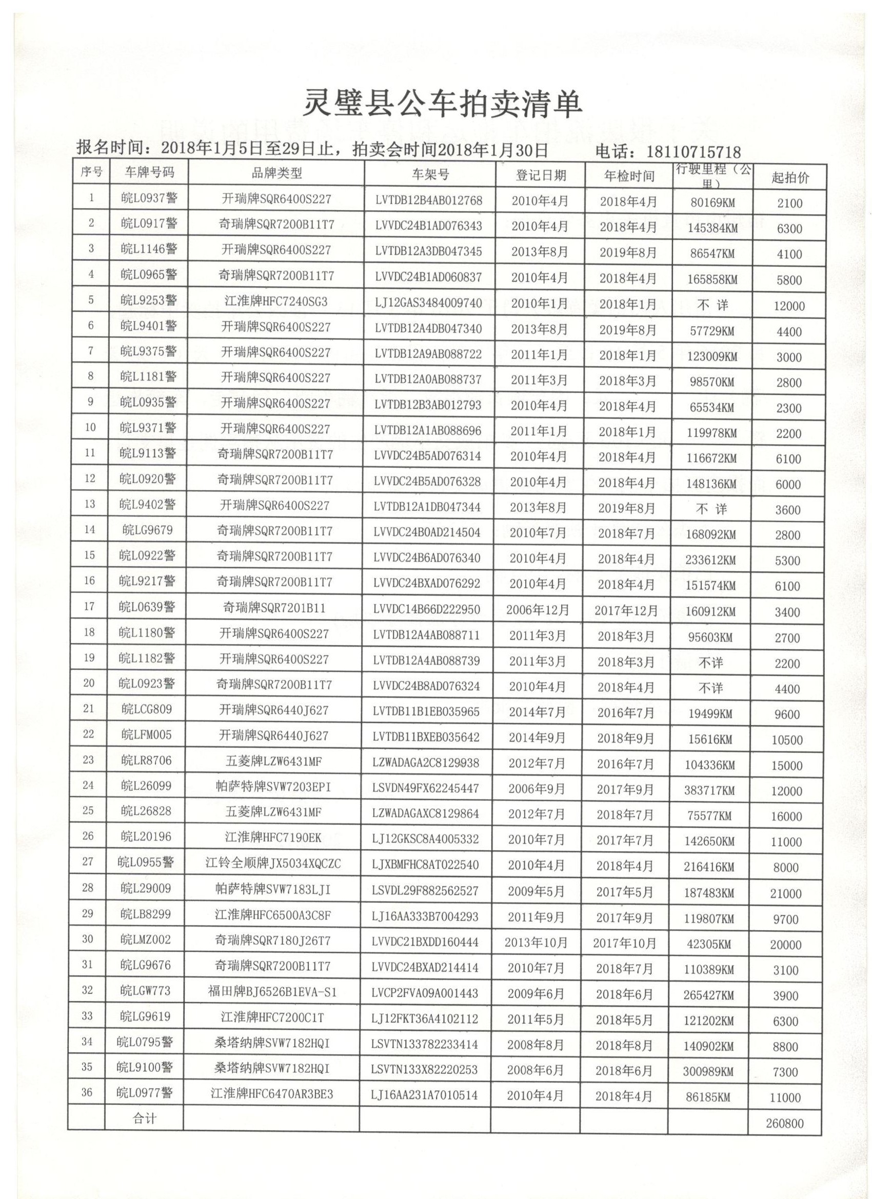
二、 拍卖标的:(届时以拍品清单及特别说明为准)涉改公车大众、通用、江淮等系列高中低档共计36 辆、本次拍卖标的均不含车辆号牌。
三、展示时间、地点:自公告发布之日起至2018年1月29日17:30;灵壁县政府西门公车办公室大院内(休息日除外)。
四、报名时间、地点、办法:自公告发布之日起至2018年1月29日17:30; 单位或个人报名须持有效证件全程网上登记报名,详细流程参阅(网络拍卖操作指南)。
五、竞买保证金、拍卖佣金、车款汇至如下指定账户:
1、每辆车交纳竞买保证金伍仟元整(¥5000.00人民币),多买多交,凭银行转款凭证(已到帐款为准)。保证金交纳:
户 名:灵璧县公共资源交易中心
开户行:中国银行灵璧支行
帐 号:188711313195(不接受现金交款。交款时须在备注栏(或用途栏)中注明所竞买标的的“竞买人姓名”,否则导致无法核实账款的事项由竞买人自行负责)
2、依据《中华人民共和国拍卖法》实施细则第三十五条,拍卖人向买受人收取佣金比例。佣金与车款交纳:
户 名:宿州人杰拍卖有限公司
开户行:中国建设银行股份有限公司宿州市经济技术开发区支行
帐 号:34001723408053001756
(温馨提示:因参加竞买人可能较多,请合理安排时间,若因保证金未及时到账,您将无法参与竞买。)注:未竞买成功者,保证金在15个工作日内全额(无息)退还原帐户。
六、垂询电话:
灵壁县县直机关事务管理局:0557-6021336 0557-6030013
宿州人杰拍卖有限公司 : 0557-3601858 18110715718
宿州人杰拍卖有限公司
2018年1月8日
